Homepage
Catalog of Screening Compounds
Screening Libraries
Focused and Target Libraries
Active Reference Sets
Diversity Libraries
Screening Compounds
Building blocks
Drug Discovery Services
Custom Chemistry
Medicinal chemistry
In silico Drug Design (CADD)
Discovery Biology
Animal Models
Toxicology and Safety
ADME, DMPK
Chemistry, Manufacturing and Controls
Company
News & Media
Contact us
For suppliers
Trends in discovery compounds
Homepage
>
Company
>
Media
>
Pharma News
>
2022
>
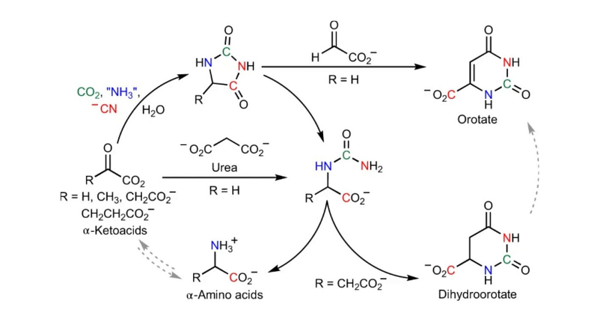
Newly discovered chemical reactions may explain the origin of life
Newly discovered chemical reactions may explain the origin of life
Read also
Recordati Considers €10.9B CVC Capital Acquisition Offer Before Q1 Close
Italian pharma Recordati weighs a €10.9bn acquisition offer from CVC Capital. Discover the details of this major M&A deal ahead of the Q1 2026 close.
Simulations Plus and Pharma Partners Advance AI-Driven Drug Development
Simulations Plus announces strategic partnerships with three pharmaceutical companies to integrate AI into model-informed drug development workflows.
Wave Life Sciences Stock Plummets 50% on Weak Phase I Obesity Trial Data
Wave Life Sciences' stock crashed 50% after its Phase I obesity trial for WVE-007 showed lower-than-expected weight loss, disappointing investors.
FDA Approves Novo Nordisk's Awiqli®: First Once-Weekly Insulin for T2D
The FDA has approved Novo Nordisk's Awiqli®, the first and only once-weekly basal insulin treatment for adults living with type 2 diabetes to improve A1C.